자디앙, 한국에서도 심혈관사건 감소 효과 인정
- 안경진
- 2017-04-26 17:57:12
-
가
- 가
- 가
- 가
- 가
- 가
- EMPA-REG 연구 근거…당뇨병 치료제 중 최초 사례
- PR
- 약국경영 스트레스 팡팡!! 약사님, 매월 쏟아지는 1000만원 상품에 도전하세요!
- 팜스타클럽

이번 결정의 근거가 된 #EMPA-REG OUTCOME 연구는 심혈관질환을 앓고 있는 제 2형 당뇨병 환자 7020명을 상대로 심혈관계 미치는 영향을 3년간 평가했다.
그 결과 심혈관계 사망을 38% 감소시켰고, 모든 원인으로 인한 사망 위험을 32%, 심부전에 따른 입원 위험을 35% 감소시킨 것으로 나타났다. 또한 주요심혈관사건 중 심혈관계 사망과 비치명적 심근경색 또는 비치명적 뇌졸중으로 정의되는 3-point MACE의 발생 위험을 14% 유의하게 감소시켰다(NEJM 2015;373:2117-28).
지난해 말 순환기 저널(Circulation Journal)에 발표된 아시아인 데이터는 더욱 고무적이다. EMPA-REG OUTCOME 연구에 참여한 7020명 가운데 아시아인 1517명(21.6%)에게서 본 연구와 동일하게 3-point MACE를 평가했을 때 아시아 환자 결과는 자디앙 임상 전체 인구의 결과와 일관성을 나타냈다.
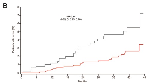
3-point MACE의 전체 발생 위험은 자디앙 투여군이 7.9%, 위약군이 11.4%였고, 2차변수로 설정된 심혈관계 사망과 비치명적 심근경색 또는 비치명적 뇌졸중의 전체 발생 위험이 유의하게 감소됐다는 보고다. 자디앙을 복용한 아시아인의 심혈관사망 위험은 위약군 대비 56%(HR 0.44, 95% CI: 0.25-0.78), 전체 사망 위험은 36%(HR 0.64, 95% CI: 0.40-1.01) 줄어든 것으로 확인된다. 
서울의대 임수 교수(분당서울대병원 내분비내과)는 "당뇨병 환자는 일반인에 비해 심혈관질환 발생 위험이 2~4배가량 높기 때문에 혈당관리와 더불어 심혈관계 위험인자를 종합적으로 관리하는 것이 매우 중요하다"며, "자디앙은 이번 식약처의 판단을 계기로 심혈관사건 발생 위험 감소에 대한 효과를 인정받고 고위험군 환자의 효과적인 당뇨병 관리에 대한 처방 근거를 더욱 확고히 하게 됐다"고 말했다.
현재 자디앙은 단독 및 다양한 병용요법을 통해 우수한 혈당강하 효과와 혈압, 체중 감소에 대한 포괄적인 데이터를 보유하고 있다. 사구체 여과율(eGFR)이 45~60ml/min/1.73㎡ 미만으로 저하된 환자에서도 용량조절 이후 사용 가능하고, 85세 미만의 고령 환자에까지 사용할 수 있도록 적응증을 인정받은 상태다.
심혈관사망 위험 감소에 관한 적응증은 미국식품의약국(FDA)과 유럽의약품청(EMA)에서도 각각 2016년 12월과 2017년 3월에 승인된 바 있다.
관련기사
-
자디앙, 당뇨약 최초로 '사망률 감소' 적응증 획득
2016-12-06 06:14:55
-
자디앙, 유럽서도 심혈관사망 감소 효과 인정
2017-03-06 10:18:49
- 댓글 0
- 최신순
- 찬성순
- 반대순
-
등록된 댓글이 없습니다.
첫 댓글을 남겨주세요.
오늘의 TOP 10
- 1급여 생존의 대가...애엽 위염약 약가인하 손실 연 150억
- 2개설허가 7개월 만에 제1호 창고형약국 개설자 변경
- 3약국서 카드 15만원+현금 5만원 결제, 현금영수증은?
- 4부광, 유니온제약 인수…공장은 얻었지만 부채는 부담
- 51호 창고형약국 불법 전용 논란 일단락…위반건축물 해제
- 6P-CAB 3종 경쟁력 제고 박차…자큐보, 구강붕해정 탑재
- 7발사르탄 원료 사기 사건 2심으로...민사소송 확전될까
- 8GC녹십자 코로나19 mRNA 백신, 임상1상 승인
- 9의협, 대통령 의료정책 인식 '엄지척'...저수가 해결 기대감
- 10파마리서치, 약국 기반 ‘리쥬비-에스 앰플’ 출시









